预览加载中,请您耐心等待几秒...
1/10
2/10
3/10
4/10
5/10
6/10
7/10
8/10
9/10
10/10

亲,该文档总共14页,到这已经超出免费预览范围,如果喜欢就直接下载吧~

如果您无法下载资料,请参考说明:

1、部分资料下载需要金币,请确保您的账户上有足够的金币

2、已购买过的文档,再次下载不重复扣费

3、资料包下载后请先用软件解压,在使用对应软件打开

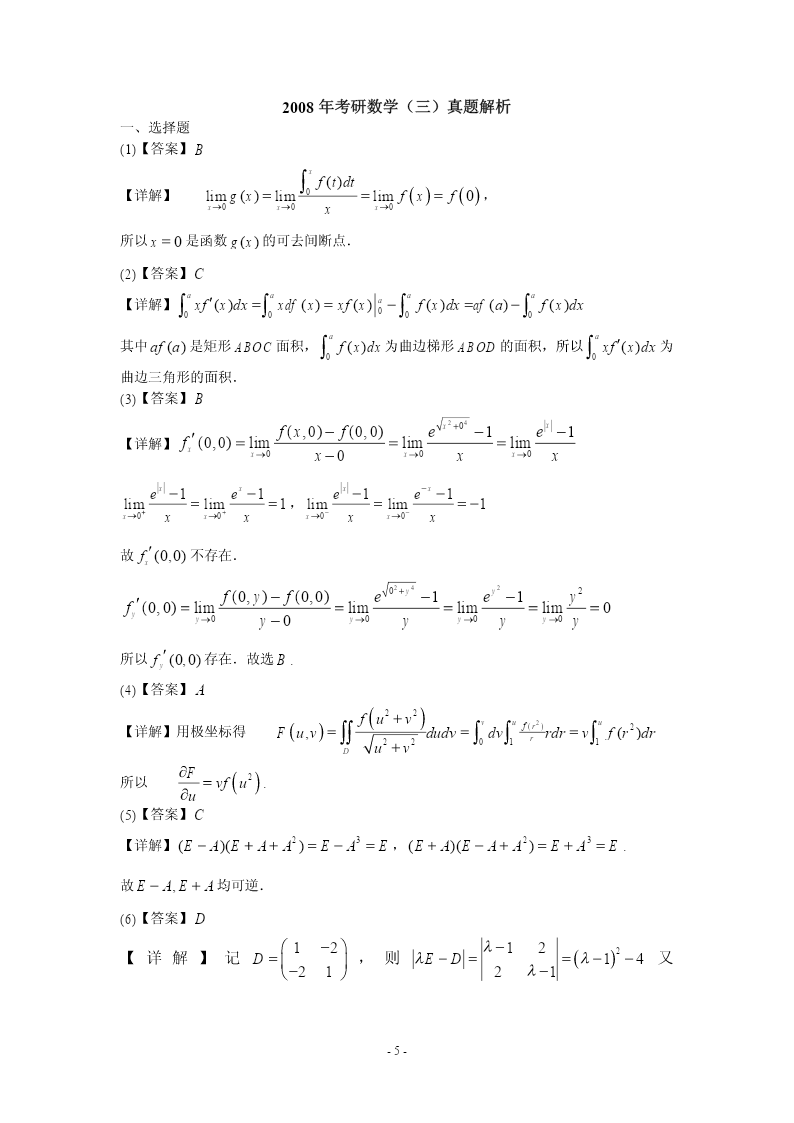
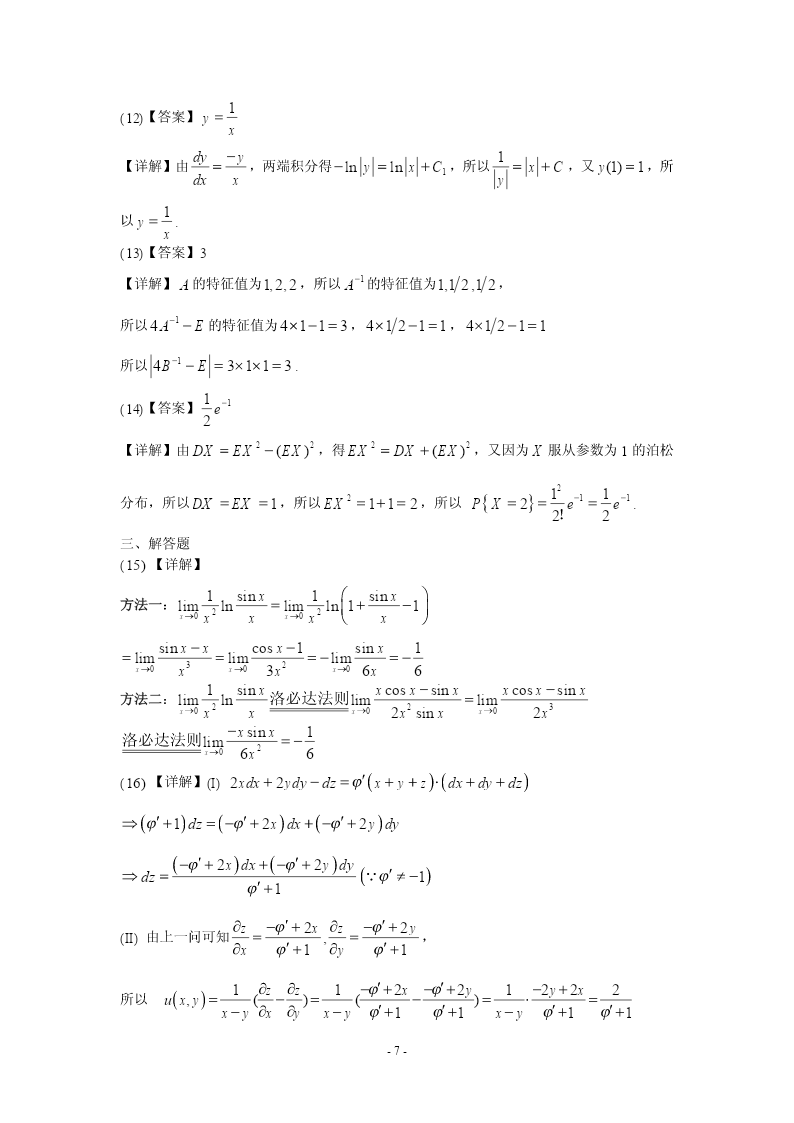
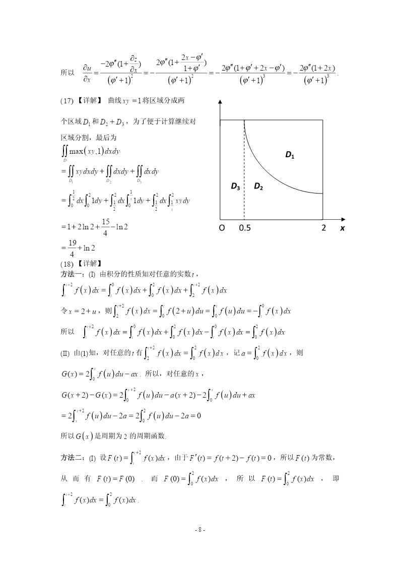
2008年全国硕士研究生入学统一考试数学三试题一、选择题:1~8小题,每小题4分,共32分,下列每小题给出的四个选项中,只有一项符合题目要求,把所选项前的字母填在题后的括号内.xf()tdt0(1)设函数f()x在区间[1,1]上连续,则x0是函数g()x的()xA跳跃间断点.B可去间断点.C无穷间断点.D振荡间断点.(2)曲线段方程为yf()x,函数f()x在区间[0,a]上有连续的导数,则定积分aaft()xdx等于()0A曲边梯形ABCD面积.B梯形ABCD面积.C曲边三角形ACD面积.D三角形ACD面积.24(3)已知f(,)xyexy,则(A)fx(0,0),fy(0,0)都存在(B)fx(0,0)不存在,fy(0,0)存在(C)fx(0,0)不存在,fy(0,0)不存在(D)fx(0,0),fy(0,0)都不存在f()x2y2F(4)设函数f连续,若f(,)uvdxdy,其中D为图中阴影部分,则22uvuDuvxy()vv(A)vf()u2(B)f()u2(C)vf()u(D)f()uuu(5)设A为阶非0矩阵E为阶单位矩阵若A30,则()AEA不可逆,EA不可逆.BEA不可逆,EA可逆.CEA可逆,EA可逆.DEA可逆,EA不可逆.12(6)设A则在实数域上域与A合同矩阵为()21-1-2121A.B.12122112C.D.1221(7)随机变量XY,独立同分布且X分布函数为Fx,则ZXYmax,分布函数为()AF2x.BFxFy.2C11Fx.D1Fx1Fy.(8)随机变量XN~0,1,YN~1,4且相关系数XY1,则()APYX211.BPYX211.CPYX211.DPYX211.二、填空题:9-14小题,每小题4分,共24分,请将答案写在答题纸指定位置上.x21,xc(9)设函数f()x2在(,)内连续,则c.,xcx31xx22(10)设f()x,则f(x)dx______.x1x42(11)设D{(x,y)x2y21},则()x2ydxdy.D(12)微分方程xyy0满足条件y(1)1的解y.(13)设3阶矩阵A的特征值为1,2,2,E为3阶单位矩阵,则4AE1_____.(14)设随机变量X服从参数为1的泊松分布,则PXEX2.三、解答题:15-23小题,共94分.请将解答写在答题纸指定的位置上.解答应写出文字说明、证明过程或演算步骤.(15)(本题满分10分)1sinx求极限limln.x0x2x(16)(本题满分10分)设zz(,)xy是由方程x2y2zxyz所确定的函数,其中具有2阶导数且1时.-2-(1)求dz1zzu(2)记ux,y,求.xyxyx(17)(本题满分11分)计算max(xy,1)dxdy,其中D{(x,y)0x2,0y2}.D(18)(本题满分10分)设fx是周期为2的连续函数,t22(1)证明对任意实数t,有fxdxfxdx;t0xt2(2)证明Gx2ftfsdsdt是周期为2的周期函数.0t(19)(本题满分10分)设银行存款的年利率为r0.05,并依年复利计算,某基金会希望通过存款A万元,实现第一年提取19万元,第二年提取28万元,…,第n年提取(10+9n)万元,并能按此规律一直提取下去,问A至少应为多少万元?(20)(本题满分12分)2a12a2aT设矩阵,现矩阵满足方程,其中,AAAXBXx1,,xn12a2annB1,0,,0,(1)求证An1an;(2)a为何值,方程组有唯一解;(3)a为何值,方程组有无穷多解.(21)(本题满分10分)