网站导航 返回首页
行业资料 考试资料 教学课件 学术论文 技术资料 金融财经 研究报告 法律文献 管理文献 社会科学 生活休闲 计算机 经济文库 数字媒体 教材教辅 企业档案
最新文档

2022鲁教版中考汇编单元中考.docx

7单元中考真题20.(河南)(4分)请答复以下有关金属的咨询题。(1)铝是爽朗金属,为什么通常铝锅却特别耐腐蚀?(2)右边是某探究实验装置图。一段时间后,能观察到什么现象?(装置气密性良好,且开场时U型管两端的红墨水液面相平)(3)X、Y、Z是三种金属固体,将X和Y浸入稀硫酸中,Y溶解并产生氢气,X无变化;将X和Z浸入硝酸银溶液中,X外表有银析出而Z无变化。①推断X、Y、Z和银四种金属的活动性由强到弱的顺序。②详细确定一种X后,写出X与硝酸银溶液反响的化学方程式。20.(4分)(1)铝与氧气反响,其外表生

发布时间:2024-09-09
页数:10页

2022高考英语冲刺训练2.docx

2010年高考考前英语冲刺训练题一、基础知识过关篇1:常见词类转换过关卡Card1动词+tion(sion)=名词(有e去e)A.+tion(sion)B.去e+ionC.特殊1.construct_________3.correct__________nspect___________11.connect_________9.participate_____14.associate________19.motivate_________27.congratulate_____(s)6.consider_

发布时间:2024-09-09
页数:149页

高考理综经典选择.docx

高考理综经典选择题高考理综经典选择题11.20xx年世界杯足球赛将在德国举行,球员踢球瞬间,神经冲动在神经纤维上的传导形式是A静息电位B动作电位C突触传导D反射弧2.下列关于叶绿体色素提取和分离的实验描述中,不属于实验要求的是A.提取高等植物叶绿体中的色素B.用纸层析法分离色素C.了解各种色素的吸收光谱D.验证叶绿体中所含色素的种类3.番茄高茎(T)对矮茎(t)为显性,圆形果实(S)对梨形果实(s)为显性(这两对基因位于非同源染色体上)。现将两个纯合亲本杂交后得到的F1与表现型为高茎梨形果的`植株杂交,其

发布时间:2024-09-09
页数:5页

高考英语专项训练「附解析」.docx

高考英语专项训练题「附解析」2017年高考英语专项训练题「附解析」信心是成功的法宝。高考临近,考生们要有目的性地做一些试题加深对知识点的理解。以下是百分网小编搜索整理的一份2017年高考英语专项训练题【附解析】,供参考练习,希望对大家有所帮助!想了解更多相关信息请持续关注我们应届毕业生考试网!A(2015·辽宁省实验中学一模)Threedecadesago,SteveMcCurrytookarguablythemostfamouspictureofalltime.Yetevenafteral

发布时间:2024-09-09
页数:14页

今年合肥高考语文作文.doc

今年合肥高考语文作文题高考语文作文题你们知道怎么写了吗?如果不清楚的可以看小助理整理的文章哦!下面xx给大家分享今年合肥高考语文作文题的内容,希望能够帮助大家,欢迎阅读!今年合肥高考语文作文题1失望是什么?我们是否逃避就没有失望?希望是什么,难道就那样遥远?摆脱冬天最后一层冰雪的桎梏,春天再次开启四季的轮回之门;摆脱蛹中的最后一次挣扎,终于破茧为蝶;同样,摆脱失望的最后一秒,我们就会迎来下一次希望!人们习惯赋予春天温柔的性格,殊不知,他经过夏、秋、冬的蜕变;人们也习惯于观看蝴蝶的翩翩起舞,殊不知他经过多次

发布时间:2024-09-08
页数:5页

()压力管道考试库及答案(版).pdf

(通用)压力管道考试题库及答案(通用版)—、单选题(在每小题列出的四个选项中,只有一个最符合题目要求的选项)1.压力管道操作人员划分为6个级别,Ⅰ—3级允许操作工业管道的级别为(C)。A.GC1、GC2、GC3;B.GC2、GC3;C.GC3;D.GB12.压力管道所用的安全阀、爆破装置、阻火器等的制造单位应取得(B)。A.安全附件制造许可证;B.特种设备制造许可证;C.安全附件使用许可证3.埋地管道的回填必须在耐压试验、泄漏试验及防腐层检验合格(B)进行,并且按隐蔽工程验收。A.前;B.后;C.之前或之

发布时间:2024-09-08
页数:25页

2024年高考化学二轮复习高考选择突破专7新高考选择突破(十二.pdf

新高考选择题突破(十二)化学反应速率与平衡图像1.(2023·河北衡水中学模拟)一定温度下,向四个容积不等的恒容密闭容器中分别通入2molNOCl(g),发生反应2NOCl(g)2NO(g)+Cl2(g)。tmin后,四个容器中NOCl的转化率如图所示。下列叙述正确的是(D)A.V1∶V2=27∶10B.b、d两点的压强相等C.c点对应容器中,v=v正逆D.t~(t+2)min内,a点的净反应速率小于d点【解析】根据已知条件列出V1时“三段式”2NOCl(g)2NO(g)+Cl2(g)起始(mol)200

发布时间:2024-09-07
页数:11页

五年(2018-2022)全国各省份高考数学分类汇编(全国通用版)专02 函数选择(含详解).pdf

发布时间:2024-09-05
页数:39页

全品高考网2011年高考有奖猜活动.doc

全品高考网2011年高考有奖猜题活动历史猜题命中情况自评反馈表姓名陈东升工作单位临清第三高级中学命中猜题1题型选择题高考分值4命中指数奖金数额高考真题2011年高考天津文综卷历史学科第13题:13.(21分)阅读材料,回答问题。材料一1493年5月,为解决对外探险中国家之间的争执,教皇亚历山大六世规定,以佛得角群岛之西约500公里的大西洋上划界(史称“教皇子午线”),线东新“发现”的土地属于一国,线西的归另一国。1494年,两国又签订了托得西拉斯条约,将这条线向西移动了约1300公里。——摘编自吴于廑、

发布时间:2024-09-05
页数:3页

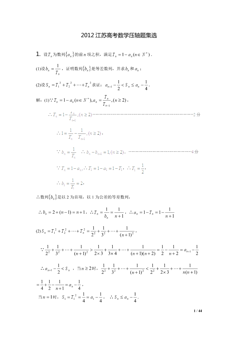
数学- 2012高考数学压轴集选(江苏)【2012高考复习必备】.pdf

2012江苏高考数学压轴题集选1.设Tn为数列an的前n项之积,满足Tn1an(nN).1(1)设bn,证明数列bn是等差数列,并求bn和an;Tn22211设求证:.(2)SnT1T2Tnan1Snan24Tn解:(1)∵Tn1an(nN),an,(n2),Tn1∴数列bn是以2为首项,以1为公差的等差数列,111∴bn2(n1)n1,∴Tn,∴an1Tn1bnn1n1222111(2),SnT1T2Tn

发布时间:2024-09-04
页数:44页
首页 分类 搜索 我的